Characteristics of Population in the Occupied Territories6

What are the characteristic features of the population composition in the occupied territories? A straightforward answer to this question can hardly be given because the occupied territories, as already stated above (and further documented in the following chapters), comprise three main regions of substantial geographical and socio-economic heterogeneity. This section will give an overview of the three regions with regard to population density, type of locality, age, gender, religious distribution and household composition. The main aim of the section is to introduce and describe regions and socio-economic groups that will be used as references in subsequent chapters.

Population Density
The main demographic feature of the Gaza Strip, physically isolated from the rest of the occupied territories, is a large number of people in a small land area. Gaza comprises less than 6% of the total surface of the occupied territories, but holds 37% of their population. Comprising 93% of the total land area, the West Bank geographically constitutes the bulk of the occupied territories. The West Bank also harbours the majority (55%) of the total population. The last main region covered by the survey, Arab Jerusalem, covers 1% of the area, and 8% of the population7. Figure 2.2 shows total and regional 1987 population densities compared to that of Israel.

This figure illustrates the fundamental difference between Gaza and the West Bank with regard to population density. While Arab Jerusalem as a city can be expected to be densely populated, both the Gaza Strip and the West Bank were originally agricultural societies. In spite of an economic transformation through which wage labour gradually has replaced self-subsistence agriculture, large parts of the West Bank still have a rural character. The high population density of the Gaza Strip, on the contrary, has given the area a distinctive urban appearance.

Figure 2.2 Comparative 1987 population density in the occupied territories and Israel

Refugees
As a consequence of the 1948 and (to some extent) 1967 wars, two out of five persons in the occupied territories are UNRWA refugees or descendants of UNRWA refugees. Less than half of the refugees still reside in refugee camps. Refugee camps, which are almost exclusively inhabited by refugees (98%), comprise both "urban" and "rural" camps.

Urban refugee camps are mainly situated around those population centers which remained under Arab control after the 1947-48 war. Today, most of the urban camps may be characterized as "urban slum areas" due to their physical and socio-economic resemblance to slum areas in other so-called developing countries. Rural refugee camps are situated in rural areas, and offer, in contrast to urban camps, the possibility of some agricultural activity for their inhabitants.

Particularly in Gaza, the population composition was dramatically changed as a result of the 1947-48 war. A huge influx of approximately 200 000 refugees tripled the population in the area that came to be known as the Gaza Strip8. The high population density in Gaza is thus to a large extent due to events in 1948. Today, approximately two out of three persons in Gaza are UNRWA refugees. About one out of two refugees live in (mainly urban) refugee camps.

The 1947-48 war had much less dramatic effects for the population composition of the West Bank. Today, one out of four persons in the West Bank is an UNRWA refugee, and more than two out of three refugees live outside camps. In Arab Jerusalem the refugee share is approximately the same as for the occupied territories in total9. Figure 2.3 show the distribution of the total population in the occupied territories according to refugee status.

Figure 2.3 Distribution of population by refugee status

Type of Locality
In contrast to most developing countries, the occupied territories are marked by a very high degree of urbanization. In total three out of five persons live in urban localities. Largely due to the massive influx of refugees in 1948, four out of five persons in the Gaza Strip live in urban areas. In the West Bank only two out of five persons live in such urban areas.

Greater Gaza City is, by far, the largest urban area in the occupied territories. Greater Arab Jerusalem (Arab Jerusalem and its West Bank suburbs) is the major urban conglomeration in the eastern part of the occupied territories, but comes out only second to Greater Gaza City in population10. Perhaps surprising to some observers, the third largest urban area in the occupied territories is constituted by the towns of Khan Younis and Rafah and adjacent camps, while Nablus, the most populous area in the West Bank proper, comes out fourth.

In Gaza the middle region is the only area which still has a distinct rural appearance. For many so-called "villages" both in Gaza and Arab Jerusalem the label "village" has more historical than contemporary socio-economic relevance. Most of these "villages" (e.g. Silwan and Jabaliya) are in reality urban areas, and have consequently been classified as such.

As opposed to Gaza and Arab Jerusalem the West Bank still contains a large rural population. Three out of five persons live in more than 400 villages and rural refugee camps. Small distances and relatively good communications, however, normally enable most of the rural population to reach larger towns within a few hours.

More than half of the population in Gaza lives around Greater Gaza City in the northern part of the Strip. With more than 5000 persons per km2, this area has the highest population density in all of the occupied territories. The southern part of the Strip, comprising the towns of Khan Younis and Rafah, harbour approximately one third of the Gaza population.

In the West Bank, too, more than half of the population resides in the northern part (Tulkarem, Jenin and Nablus sub-districts). The central part of the West Bank (Jericho, Ramallah and Bethlehem sub-districts) encircles Arab Jerusalem and comprises one fourth of the population. Somewhat less populated, Hebron sub-district constitutes the southern part of the West Bank.

Figure 2.4 Distribution of population in Gaza and the West Bank by sub-region and type of locality

In the present study the Gaza Strip was subdivided into Greater Gaza City (excluding refugee camps), other towns/ villages, and refugee camps. Easier access to the Israeli labor market for the inhabitants of Greater Gaza City, and the particular services provided by UNRWA for the population living in refugee camps, were among the considerations that prompted this classification. In the West Bank localities were grouped into towns, villages and refugee camps. Figure 2.4 show the distribution of the population in Gaza and the West Bank by type of locality and sub-region.

Since 1948 intra-regional migration in the occupied territories has generally been small. Prior to 1967 migration was limited because Gaza, on the one hand, and the West Bank and East Jerusalem on the other, were ruled by Egypt and Jordan respectively. After the "reunification" through Israeli occupation in 1967, new restrictions on regional Palestinian population movements were introduced.

In particular, Palestinian settlement in Arab Jerusalem has been constrained by Israeli restrictions on immigration and building permissions, leading to widespread "illegal" immigration. Even if the Palestinian population of Arab Jerusalem has doubled since 1967, its growth has still been lower than that of other Middle Eastern capital cities. The lack of housing in Arab Jerusalem has stimulated both "illegal" construction as well as out-migration of young Arab Jerusalem families to neighbouring West Bank towns and villages.

Religious Affiliation
The population in the occupied territories is almost exclusively Moslem (96%)11. In Gaza the share of Moslems even reaches 99.8%, making Gaza one of the most compact Moslem areas in all of the Middle East. More than 90% of the Christians live in Arab Jerusalem and the Bethlehem and Ramallah sub-districts of the West Bank. Still, they constitute only 15% of the total population in Arab Jerusalem and 11% of the total population in Bethlehem and Ramallah12. The Christian population share in the occupied territories is steadily decreasing, partially due to high emigration rates, and partially because of substantially lower birth rates than among the Moslem majority13.

Age and Gender14 15
In contrast to population factors unique to the occupied territories, such as types of locality and internal migration, the age distribution of the population in the occupied territories shows great similarities with that of other Arab countries.

Figures 2.5a-c shows population pyramids which illustrate the distribution of the respective populations by five year age groups and gender, men to the left-hand side and women to the right. Comparison of results for separate five year age groups must be made with care due to the small sample size, in particular on the regional level. These regional pyramids can be compared to the overall age-sex distribution for the sample population, see figure 2.11.

The overall gender distribution for Palestinians, 15 years or older, living in the occupied territories is almost exactly 50% male/female. There is a tendency of male over-representation in age groups 20-34 years, while there is an over-representation of females in the age groups 40-65 years. A possible explanation for the last result is an over-representation of males in labour related emigration during the seventies. Somewhat surprising is the fact that there is a weak male, rather than female, over- representation in the two oldest age groups. Note, however, that the sample size is small.

The survey contains no information on the gender of children younger than 15 years. Assuming an approximately even number of female and male births, distribution on sex for these three five-year age intervals has simply been set to 1/2 male and 1/2 female.

The young age structure of the population in the occupied territories is striking, but not particularly different from other Middle East countries. 46% of the population is aged 14 years or younger, 18% is aged 4 years or younger. In contrast to the distribution on gender, total results for the age distribution in the occupied territories disguise substantial regional differences.

Gaza is the region with the youngest population. 51% of the population is 14 years or younger. As much as 21% of all Gazans are 4 years or younger. At the other end of the scale is Arab Jerusalem, with "only" 37% aged 14 years or younger and 13% aged 4 years or younger. The West Bank is the area with a relative age distribution most similar to that of the occupied territories in total. Note, however, that this result to some extent follows automatically because of the West Bank's large share of the total population in the occupied territories (60%). The "low" share of children below 5 years of age in Arab Jerusalem may partially be due to emigration of families with small children from Arab Jerusalem to the West Bank.

Figure 2.5a Distribution of population in Gaza,in five-year age groups by gender

Figure 2.5b Distribution of population in the West Bank, in 5-year age groups by gender

Figure 2.5c Distribution of population in Arab Jerusalem , in 5-year age groups by gender

Composition of Households16
What is the average size of households in the occupied territories? The 1992 FAFO survey estimates an average number of 7.5 persons per household in the occupied territories. The corresponding 1990 numbers for Israeli Jews and "non-Jews" were 3.4 and 5.6 respectively17.
Gaza has an average of nearly 9 persons per household, while the numbers for the West Bank and Arab Jerusalem are 7 and less than 6 respectively. The average total number of persons per household has also been broken down to average numbers for men, women and children (persons 14 years or younger). While regional variations between the average numbers of adult men and women are relatively small, the average number of children varies substantially by region. Arab Jerusalem on average has 0.58 children per adult household member, the ratio in Gaza is 1.02, i.e. almost twice as high18. Figure 2.6 illustrates these findings.

Figure 2.6 Household composition by region and type of locality

Within Gaza, Greater Gaza City has the highest average number of children per adult household member. In the West Bank variations by sub-region and locality are small, except for a higher average number of children per adult in the southern part.

Figure 2.7 Household composition by refugee status

Figure 2.7 shows household composition by refugee status. For the occupied territories in total camp refugees seem to have a higher average number of persons per household than other groups. This result is, however, due to the high proportion of camp refugees living in Gaza, which generally comprise large households. In both Gaza and the West Bank variations by refugee status are smaller than the general regional variation.

Contrary to the notions of many, both Gaza and West Bank refugee households have a lower average total number of members than do non-refugee households. In the Gaza Strip, households in camps actually have a lower average total number of members than both non-refugee households and refugee households outside camps.

With regard to religious affiliation, Moslem households have on average more members than Christian households (7.6 and 4.7 respectively). In particular, the average number of children is higher in Moslem households (3.5), than in Christian households (1.5). The average number of children in Christian households is the lowest among all socio-economic groups analyzed in this section. However, the number of observations here is low, and estimates should be interpreted with caution.

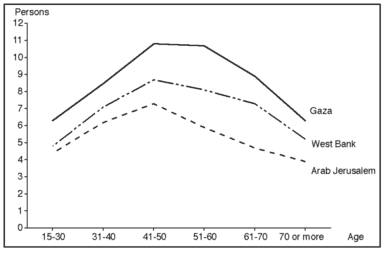
Household composition also varies systematically with the Head of Household's age. Average household size is smallest for young and old Household Heads, and greatest for middle-aged Heads of Households. As can be seen from Figure 2.8, this observation is valid both for the occupied territories taken as a whole and for each of the three main regions. For all Head of Household age groups Gaza has the highest, and Arab Jerusalem the lowest average number of household members.

Figure 2.8 Total number of persons in households by age of Head of Household

The variations in household composition with regard to the Head of Household's age can, of course, be explained by the usual life cycles of the household members. Figure 2.9 illustrates this point by showing the average number of adult males, females, and children for households in the occupied territories according to the age of the Head of Household.

Figure 2.9 Household composition by age of Head of Household

The typical household composition in the youngest Head of Household age group is one of few adults and few children, i.e. a group dominated by young couples with only one or two children. In the next Head of Household age group, the average number of children increases sharply, while the average numbers of adult males and females are stable. This group is likely to be dominated by single couples with an increasing number of own children.

For the two next Head of Household age groups, the average number of children decreases markedly while the average number of adults shows a moderate increase. More and more children are growing older than 15 years of age, and are consequently being counted as adults. Sons may also marry, and their wives move in, hence a number of daughters-in-law are included among adult household members. Even more sons, however, move out to form households on their own.

Head of Household demographics19
The Head of Household has the final decision-making authority in family matters20. In 96% of the households, the Household Head was the oldest male. In 80% of the households the Head of Household was also the oldest person. To what extent is the status as Head of Household tied to labour activity? The household economy chapter (chapter 6) shows that 28% of the Household Heads have either not worked at all, or worked less than one month the last year prior to the survey. It thus seems that in most cases, age and sex are the main factors that make a person Head of Household, rather than, i.a., income.

----------------

al@mashriq                       960715