Supply of Labour; Labour Force Participation

The size of the labour force refers to the amount of labour available in the economy. For macro-economic needs, focus is thus naturally placed on the composition of the labour force. A living conditions survey, however, should be as much concerned with persons not working. Because involuntary non-activity represents a serious welfare problem, the possible reasons for a person's inactivity must be investigated.

Labour Force Participation - an International Comparison6
Labour force participation is influenced, of course, by numerous economic, political and cultural factors, working together in a complex interplay. It may thus be instructive to compare labour force participation in the occupied territories with other countries and population groups. Figure 7.2 shows labour force participation as percentage of total population, percentage of adults, adult males and adult females for the occupied territories, for Israeli Jews and "Non-Jews" and for Norway. The share of the total population below 15 years is also indicated in the figure7. (Note that labour force participation usually is expressed in per cent of the "working age population", i.e. persons 15 years or older).

Figure 7.2 International comparison of labour force participation ratios

Figure 7.2 clearly illustrates the inverse relation between the share of the total population in the labour force and the share of the population below 15 years of age. The very young age structure in the occupied territories is thus a major explanation of the relatively low labour force participation as per cent of the total population8.

In addition to the effect of the population's age structure, the estimates for labour force participation ratio are determined by three main factors:
First, as is the case in all surveys, measurement methods and definitions are likely to have a strong influence. Respondents tend to understand work as regular employment, which frequently leads to under-reporting of many kinds of labour activity typical of developing countries. Casual work, unpaid work, and work rewarded in kind are often omitted, even when explicitly considered as "work" in line with survey definitions. Under-reporting of labour activity is usually higher for women than for men, in particular in developing countries. Married women are customarily regarded as "housewives" in Palestinian culture, and their labour activity is normally not considered as "employment"9.

Second, socio-cultural factors play a decisive role in shaping labour force participation. In contrast to Western countries, Middle Eastern culture regards labour activity primarily as a household affair10. There are relatively strong cultural norms governing the places and types of work that can be considered "acceptable" according to sex, age and social status. The cultural dimension is particularly important when explaining Palestinian women's lack of (formal) labour activity.

Third, the political and economic situation obviously influences the extent and character of actual labour force participation. The occupied territories are subject to rather exceptional political and economic conditions, having been under military rule for 25 years. In a situation characterized by legal restrictions, strikes and curfews, the local economy, and hence employment opportunities, are by necessity constrained. The integration into the Israeli economy and infrastructure which has taken place during the years of occupation, has profoundly changed the labour markets of the occupied territories. While new employment opportunities have opened up for certain social strata, other groups have experienced an erosion of employment possibilities.

Labour Force Participation - Regional Variations within the Occupied Territories11
Figure 7.3 (as also figure 7.2) shows labour force participation as percentage of total population, percentage of adults, adult males and adult females for the occupied territories in total and for the three main regions separately. The regional shares of total population below 15 years are also included in the figure.

Figure 7.3 Regional comparison of labour force participation ratios

Only one out of every four persons in the occupied territories belongs to the labour force. Figure 7.3 shows, however, that this result disguises substantial regional variations. The proportion of the total population who are labour force members is as much as 50% greater in the West Bank and Arab Jerusalem than in Gaza. As is the case when accounting for dissimilarities in labour activity between the occupied territories and other countries, regional variations in age structure go some way towards explaining this difference. Controlling for the high share of persons younger than 15 years in Gaza, the ratio with which adult labour force participation in the West Bank and Arab Jerusalem exceeds that of Gaza, drops to about 1/3.

Figure 7.3 also shows that women in the occupied territories generally have a very low participation ratio compared to men in all three areas. Female labour force participation ratio, further, is particularly low in Gaza. While the generally low labour activity of women to some extent may be explained by specific difficulties in measuring women's employment accurately, this is not a credible explanation of regional differences in female labour force participation. Such differences are most probably caused by regional differences in female employment opportunities. There may, however, also be stronger cultural inhibitions against female employment in Gaza than in the other regions.

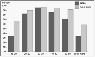
Regarding the group of adult males only, figure 7.3 still shows a lower labour force participation ratio in Gaza than in the West Bank and Arab Jerusalem. Further analysis confirms that the West Bank has higher labour force participation among adult males than Gaza, regardless of socio-economic group12. Figure 7.4 illustrates the regional differences by presenting age-specific labour force participation ratios for adult males in Gaza and the West Bank separately13.

Figure 7.4 Male labour force participation ratios by age

How, then, can regional variations in adult male labour force participation be explained? Differences in age composition has been considered of great importance when looking at labour force participation as a percentage of the total population. Looking exclusively at the adult male population, regional differences in age structure turn out to be relatively small. The only exception is Arab Jerusalem, which has a somewhat older population than the other regions. The total effect of the various age structures is further weakened because labour force participation is low both for the oldest and youngest age groups.

Gender specific measurement problems may as already mentioned above explain some of the gender difference in labour force participation. Measurement problems do not, however, provide a plausible explanation for the observed regional differences in adult male labour force participation.
As for measurement problems, cultural norms cannot explain the regional differences in male labour activity satisfactorily either. While the cultural norms influencing women's labour activity may vary among regions, there are no restrictive norms in respect to the labour activity for adult males. On the contrary, adult males regardless of area of residence, are explicitly expected to generate economic resources for their families through labour activity.

It is reasonable, therefore, to think that overall differences in male labour force participation between regions and socio-economic groups are due to economic and political factors, rather than age composition, measurement problems and cultural factors. While economic and political factors hardly can be measured directly, there are many indicators which support this hypothesis. Variations in male labour force participation are very similar to the variations in household wealth, as pointed out and discussed in the household economy chapter. In Arab Jerusalem and the central parts of the West Bank, employment opportunities are relatively good (outside camps)14. The local economy seems to be able to absorb most individuals seeking work. The reasons for non-activity among males, it transpires, are primarily education, i.e. lack of work compatible with training and status, sickness and old age. Labour activity is found to be at its lowest in Gaza and in refugee camps, i.e. the environments most strongly affected by the Israeli occupation15. Figure 7.5 illustrates the effect of refugee status on adult male labour force participation. In Gaza labour force participation among refugees is low, regardless of whether they live inside or outside camps. In the West Bank, by contrast, labour force participation is higher and there are small variations in labour force participation according to refugee status.

Figure 7.5 Male labour force participation ratios by refugee status

In Gaza, traditional industries like agriculture seem to have been unable to absorb the huge number of refugees16. The development of alternative economic activities has been checked by unfavourable conditions such as military regulations, curfews and strikes. In particular, urban refugee camps lack an independent economic base. Limited local demand for labour has led to, as will be discussed later, a high number of Gaza workers commuting to Israel for employment on a daily basis. After the outbreak of the intifada, and especially in the period since the Gulf War, employment in Israel has become less secure and tenable. Strikes, curfews, and, most importantly, new Israeli restrictions (as well as stricter enforcement of existing regulations) have seriously weakened employment opportunities in Israel as a viable alternative to local employment. The observed greater differences between Gaza and the West Bank for young and old men, rather than for the middle-aged (figure 7.4), may also be explained by the fact that the difficult economic situation in Gaza squeezes out the least attractive age groups from the labour market.

----------------

al@mashriq                       960715